二分木は対称か?
二分木が対称であるとは、ルートノードの右部分木が左部分木の鏡像になっている場合を指します。
与えられた二分木が対称かどうかを判定してください。

入力
入力は二分木の各ノードの値を表す整数をスペース区切りで含みます。これらの値は常に左部分木から右部分木へと順番に読み取ったものです。値が 0 の場合、そのノードは存在しないことを意味します。入力される二分木が正しい形式であることは保証されています。
出力
もし与えられた二分木が対称であれば Yes、そうでなければ No を出力してください。
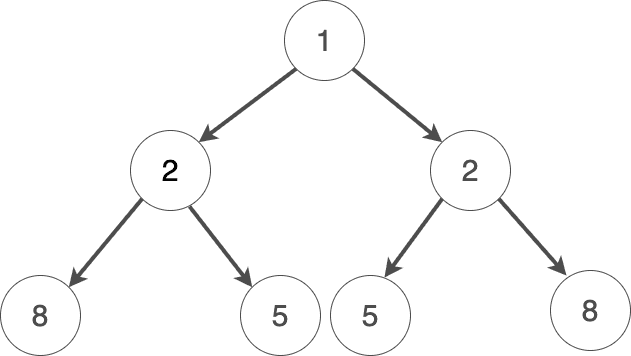
例
入力 | 出力 |
|---|---|
1 2 3 8 5 0 0 0 0 5 8 0 0 0 0 | Yes |
1 2 3 4 5 0 0 7 8 0 0 0 0 0 6 0 0 | No |
解説
例1:

例2:

Constraints
Time limit: 1.6 seconds
Memory limit: 512 MB
Output limit: 1 MB