二分木をミラーリングする
二分木が与えられたとき、その二分木を左右反転(ミラーリング)するように求められています。つまり、これまで左から右へと「読んで」いた構造を、右から左へと「読む」構造に変えるイメージです。
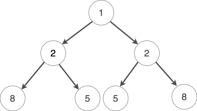
ちなみに、下の画像にある二分木をミラーリングしても、結果はまったく変わりません。なぜでしょうか?🤔

入力
入力には、二分木の各ノードの値を表す整数がスペース区切りで与えられます。値を並べる順番は、常に左の部分木から右の部分木へ辿るようにして与えられています。0 はそのノードが存在しないことを意味します。入力される二分木が正しい構造であることは保証されています。
出力
プログラムは、ミラーリングされた二分木を先行順(pre-order)で走査した結果を出力してください。
例
入力 | 出力 |
|---|---|
1 2 3 8 5 0 0 0 0 5 8 0 0 0 0 | 1 3 8 5 2 5 8 |
1 2 3 4 5 0 0 7 8 0 0 0 0 0 6 0 0 | 1 3 6 2 5 8 7 4 |
解説
例1:

例2:

Constraints
Time limit: 1.6 seconds
Memory limit: 512 MB
Output limit: 1 MB